News

Second-Generation Mistral Large AI Model Released

Mistral recently released the latest version of its flagship general-purpose commercial AI model, Mistral Large 2.

The new model marks significant advancements over its predecessor, Mistral Large 1, which was released just five months ago. With a context window of 128,000 tokens (the rough equivalent of 96,000 words), Mistral Large 2 is capable of processing four times as much data as Mistral Large 1, which had a context window of 32,000 tokens.

Mistral Large 2 also supports nearly three times as many languages as Mistral Large 1. Per Mistral's announcement last week, the new model is trained on Chinese, Japanese, Portuguese, Dutch, Russian, Korean, Arabic and Hindi. That's on top of English, Spanish, French, Italian and German, which were already part of Mistral Large 1's skillset.

It also supports over 80 coding languages, including Python, Java, C, C++ and JavaScript.

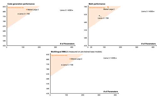
In benchmark tests, Mistral reported that its new model outperforms Meta's Llama 3.1 405B model in multilingual performance, coding and math, and is on par with Llama 3.1 70B.

Mistral Large 2 benchmarks
[Click on image for larger view.]   Mistral Large 2 performance compared to comparable Meta Llama models. (Source: Mistral)

Mistral Large 2 has 123 billion parameters, enabling it run on a single node while maintaining high throughput. It "sets a new frontier in terms of performance/cost of serving on evaluation metrics," said Mistral.

The company said it specifically designed Mistral Large 2 to be better than its predecessor in accuracy and reasoning. To cut down on hallucinations, for example, Mistral Large 2 was trained to be "more cautious and discerning in its responses," as well as to be transparent when it cannot provide a reliably accurate answer. The new model is also better at following instructions and longer conversations.

For organizations that want to build AI agents, Mistral says its new model can do that, too. "Mistral Large 2 is equipped with enhanced function calling and retrieval skills and has undergone training to proficiently execute both parallel and sequential function calls," the company said, "enabling it to serve as the power engine of complex business applications."

Mistral Large 2 is available on the major cloud LLM libraries -- Google Vertex AI, Amazon Bedrock, Azure AI Studio and IBM watson.ai -- as well as Mistral's own la Plateforme.

About the Author

Gladys Rama (@GladysRama3) is the editorial director of Converge360.

Featured

Upcoming Training Events

0 AM
Live! 360 Orlando
November 16-21, 2025
Cloud & Containers Live! Orlando
November 16-21, 2025
Data Platform Live! Orlando
November 16-21, 2025
TechMentor Orlando
November 16-21, 2025
Live! 360 Orlando
November 15-20, 2026
Data Platform Live! Orlando
November 15-20, 2026
TechMentor Orlando
November 15-20, 2026